Regression Inference + Diagnostics

Should an Airbnb host invest $50,000 to add a bathroom?

A New York City Airbnb host is considering spending about $50,000 to add a second bathroom. Listings with more bathrooms post higher nightly rates – but is that premium real, large enough to recoup the investment, and stable enough to bet on? Act 1 fit regression models to predict prices; Act 2 introduced inference – hypothesis tests and confidence intervals. This chapter combines them: it asks not “what price would a new listing fetch” but “what would happen if I changed something.” We will run the analysis with the same machinery you saw in Chapter 5, settle the question, and then turn the same tools on a second one where the answer is much less encouraging: does extra rest improve NBA performance?

Three questions organize the chapter, applied to every coefficient we will estimate:

Question Tool What it does NOT answer
Q1 Is \(\hat{\beta}_j\) nonzero? (distinguishable from sample noise) t-test, p-value, CI excludes 0 how big the effect is
Q2 Is the effect big enough to matter? coefficient magnitude, CI width, Cohen’s d whether assumptions hold
Q3 Is the inference trustworthy? residual plot, Q-Q plot, LINE conditions confounding (systematic error)

The Airbnb regression in block 1 walks Q1 → Q2 → Q3 once, end to end, and lands on a clean decision. The NBA regression in block 2 reuses the same machinery and gets a “yes” on Q1 — but failing Q2 and a warning on Q3 mean we should NOT act on it. The chapter’s pedagogical spine is the gap between Q1 and Q2 (“statistical significance is no substitute for practical importance”) and the boundary at Q3 (“diagnostics catch statistical problems, not systematic ones”).

The bathroom coefficient that the next section reports tells you that listings with more bathrooms tend to cost more, on average. It does NOT promise that adding a bathroom to your listing would lift your price by the same amount: a renovation might also change other features (square footage, layout, comparable competition) that the coefficient cannot see. Prediction asks “what will happen to a new unit from this population.” Inference asks “what would happen if I changed something.” Causality asks “what would happen if a specific intervention were applied,” and answering it cleanly requires assumptions Chapter 18 will introduce. This chapter does (1) and (2); (3) waits for Ch 18.

Code
import numpy as np
import pandas as pd
import matplotlib.pyplot as plt
import seaborn as sns
from scipy import stats
import statsmodels.api as sm
import statsmodels.formula.api as smf
from statsmodels.nonparametric.smoothers_lowess import lowess
import warnings
warnings.filterwarnings('ignore')
sns.set_style('whitegrid')
plt.rcParams['figure.figsize'] = (8, 5)
plt.rcParams['font.size'] = 12

DATA_DIR = 'data'

We define a helper function format_pvalue() to display very small p-values in scientific notation throughout this chapter.

Code
def format_pvalue(p):
    """Format p-values: scientific notation for very small values."""
    if p < 0.001:
        return f"{p:.2e}"
    return f"{p:.3f}"

Fitting a regression for Airbnb price

We focus on listings priced under $500/night to keep the model in the regime that covers most hosts and avoid letting a handful of luxury outliers dominate the fit.

Code
# Load Airbnb listings; rename the borough column for readability
airbnb = pd.read_csv(f'{DATA_DIR}/airbnb/listings.csv', low_memory=False)
airbnb = airbnb.rename(columns={'neighbourhood_group_cleansed': 'borough'})

# Filter to typical full-apartment listings under $500/night with bathroom/bedroom data
n_total = len(airbnb)
airbnb_clean = airbnb[
    (airbnb['price'] > 0) &
    (airbnb['price'] <= 500) &
    (airbnb['bathrooms'].notna()) &
    (airbnb['bedrooms'].notna()) &
    (airbnb['room_type'] == 'Entire home/apt')
].rename(columns={'price': 'price_clean'}).copy()

print(f"Airbnb listings: {n_total:,} total, {len(airbnb_clean):,} after filtering")
print(f"Price range: ${airbnb_clean['price_clean'].min():.0f}-${airbnb_clean['price_clean'].max():.0f}")
print(f"Bathrooms range: {airbnb_clean['bathrooms'].min():.0f}-{airbnb_clean['bathrooms'].max():.0f}")
Airbnb listings: 29,142 total, 14,689 after filtering
Price range: $10-$500
Bathrooms range: 0-6

Before modeling, let us visualize. The borough column represents NYC boroughs (Manhattan, Brooklyn, Queens, Bronx, Staten Island).

Code
# Visualize price by bathrooms and by borough
fig, axes = plt.subplots(1, 2, figsize=(8, 3.5))

sns.boxplot(x='bathrooms', y='price_clean', data=airbnb_clean, ax=axes[0], color='steelblue')
axes[0].set_xlabel('Number of Bathrooms')
axes[0].set_ylabel('Price per Night ($)')
axes[0].set_title('Airbnb Price by Bathrooms')

sns.boxplot(x='borough', y='price_clean',
            data=airbnb_clean, ax=axes[1], color='steelblue')
axes[1].set_xlabel('Borough')
axes[1].set_ylabel('Price per Night ($)')
axes[1].set_title('Airbnb Price by Borough')
axes[1].tick_params(axis='x', rotation=30)

plt.tight_layout()
plt.show()

print("More bathrooms = higher price. Does this hold after controlling for bedrooms and borough?")

More bathrooms = higher price. Does this hold after controlling for bedrooms and borough?

In Chapter 5 we already saw what “controlling for” does to a regression coefficient: the bathrooms coefficient shrank when bedrooms entered the model, because the two are correlated – bigger places tend to have more of both. The lesson there: fit the multivariate model directly. So:

TipThink About It

Before reading the regression output below, sketch your prediction for two numbers: (a) the bathrooms coefficient (sign and rough magnitude in dollars per night), and (b) the Manhattan-vs-Bronx borough gap (sign and rough magnitude). Check your guesses against the printed table.

Statsmodels also provides a lower-level matrix interface, sm.OLS(y, X), where you pass arrays directly. The formula API (smf.ols('y ~ x1 + x2', data=df)) is more readable and handles categorical encoding automatically, so we use it throughout this course. The C() wrapper tells statsmodels to treat a column as a categorical variable, creating indicator (dummy) columns automatically.

Code
# Regression: price ~ bathrooms + bedrooms + borough
airbnb_model = smf.ols(
    'price_clean ~ bathrooms + bedrooms + C(borough)',
    data=airbnb_clean
).fit()

print(airbnb_model.summary())
                            OLS Regression Results                            
==============================================================================
Dep. Variable:            price_clean   R-squared:                       0.358
Model:                            OLS   Adj. R-squared:                  0.357
Method:                 Least Squares   F-statistic:                     1362.
Date:                Mon, 18 May 2026   Prob (F-statistic):               0.00
Time:                        00:05:05   Log-Likelihood:                -82945.
No. Observations:               14689   AIC:                         1.659e+05
Df Residuals:                   14682   BIC:                         1.660e+05
Df Model:                           6                                         
Covariance Type:            nonrobust                                         
===============================================================================================
                                  coef    std err          t      P>|t|      [0.025      0.975]
-----------------------------------------------------------------------------------------------
Intercept                      -2.3836      5.679     -0.420      0.675     -13.515       8.747
C(borough)[T.Brooklyn]         37.5698      5.481      6.854      0.000      26.826      48.313
C(borough)[T.Manhattan]        95.5836      5.464     17.492      0.000      84.873     106.294
C(borough)[T.Queens]           17.9948      5.794      3.106      0.002       6.638      29.352
C(borough)[T.Staten Island]   -20.1103      9.645     -2.085      0.037     -39.015      -1.206
bathrooms                      62.4363      1.861     33.557      0.000      58.789      66.083
bedrooms                       34.0280      0.734     46.331      0.000      32.588      35.468
==============================================================================
Omnibus:                     2189.941   Durbin-Watson:                   1.991
Prob(Omnibus):                  0.000   Jarque-Bera (JB):             4613.485
Skew:                           0.900   Prob(JB):                         0.00
Kurtosis:                       5.074   Cond. No.                         49.3
==============================================================================

Notes:
[1] Standard Errors assume that the covariance matrix of the errors is correctly specified.

Reading a regression output table

The output above is the standard OLS summary from statsmodels. Every regression output you encounter – in Python, R, Stata, or a journal article – contains the same elements. The next two sections walk through the bathrooms coefficient end to end (sign, SE, t, p, CI). The reference card below names every column you will encounter; we apply each item to bathrooms in turn so you have a worked example to anchor each entry.

The coefficient table (middle panel). One row per predictor; each row tells you everything you can say about that predictor in this model.

  1. coef – the estimated \(\hat{\beta}_j\). “Holding the other predictors constant, a one-unit increase in \(x_j\) is associated with a \(\hat{\beta}_j\) change in \(y\).” Units matter: bathrooms is a count, bedrooms is a count, the borough indicators are 0/1.
  2. std err – the standard error of the coefficient: the estimated standard deviation of \(\hat{\beta}_j\) across hypothetical repeated samples. Smaller SE = more precise estimate. Scan the column to see which predictors are tightly pinned down.
  3. t – the t-statistic, \(\hat{\beta}_j / \widehat{\text{SE}}(\hat{\beta}_j)\). A magnitude above \(\sim 2\) means the coefficient is distinguishable from zero. A magnitude near zero means the predictor may not be contributing.
  4. P>|t| – the two-sided p-value for \(H_0: \beta_j = 0\) vs. \(H_a: \beta_j \neq 0\), given the other predictors in the model. A small value lets us reject the null. A small p-value does not guarantee a large or important effect – the t-statistic and CI tell you about size; the p-value only tells you about distinguishability from noise.
  5. [0.025, 0.975] – the 95% confidence interval for \(\beta_j\). Excludes zero \(\Leftrightarrow\) statistically significant at the 5% level. The width of the interval tells you how precisely the effect is estimated.

The header (top panel) and footer. These describe the model as a whole, not any one predictor.

  1. R-squared – the fraction of variance in \(y\) explained by the model. Adjusted \(R^2\) (introduced in Chapter 5) plays the same role here – it penalizes each additional predictor that does not earn its keep, so it is the right summary when comparing models of different sizes.
  2. Cond. No. (in the footer) – a multicollinearity warning. Values above 30 suggest moderate multicollinearity; values above 1,000 signal that some predictors are nearly linearly dependent, which inflates standard errors and makes individual coefficients hard to interpret. (You may also see a warning printed below the table when the condition number is high.)

Categorical predictors. The C(borough) term creates one indicator per level, with one level dropped as the reference. Each remaining row gives the price difference relative to that reference, holding the other predictors constant. So C(borough)[T.Manhattan] is “Manhattan minus Bronx (the alphabetically-first level, dropped as reference),” and a 95% CI excluding zero means Manhattan is statistically distinguishable from the Bronx in price.

The summary also reports an F-statistic and Prob (F-statistic). These test whether the model as a whole explains more than an intercept-only baseline – a single hypothesis covering all predictors at once. We do not lean on this test in this course (when each individual coefficient already has its own t-test, the omnibus version rarely changes a decision), but you will see it in any regression output, so know that it exists.

Two predictors are collinear when one is approximately a linear combination of the other (and possibly the intercept) – e.g., bathrooms and bedrooms are correlated because bigger places tend to have more of both. Multicollinearity does NOT bias the coefficient estimates: \(\hat\beta\) remains unbiased and consistent. What it inflates is standard errors: when two columns of \(X\) are nearly redundant, the regression cannot tell which one is doing the work, so it reports wider CIs on both. The footer’s Cond. No. is a global summary; for a per-predictor diagnostic, the variance inflation factor (VIF) of \(x_j\) is \(\mathrm{VIF}_j = 1/(1 - R^2_j)\), where \(R^2_j\) is from regressing \(x_j\) on the other predictors. VIF \(> 10\) is a common rule-of-thumb red flag.

In our Airbnb model, bathrooms and bedrooms are correlated but not pathologically so (Cond. No. 35, just over the 30 “moderate” threshold). Both coefficients survive their t-tests with margin to spare. If we had fit a regression with bathrooms, bedrooms, AND total_rooms (= sum of the two), the design matrix would be singular and the regression would refuse to fit – the perfect-collinearity boundary case.

The fix when multicollinearity is severe: drop one of the redundant predictors, combine them (e.g., a single rooms total), or accept the wider CIs and report them honestly.

We will read every regression table in this textbook off this same template.

Interpreting the Airbnb coefficients

ImportantDefinition: Coefficient Interpretation

Each coefficient has a specific interpretation: “holding everything else constant,** a one-unit increase in \(x_j\) is associated with a \(\hat{\beta}_j\) change in \(y\).” The “holding everything else constant” language is what we mean by controlling for** the other predictors.

This phrasing describes what the model estimates – it does not mean we can literally hold everything else constant in the real world. In a more advanced course, you may see the same regression coefficients interpreted from three perspectives: prediction, inference, and causality. We explore the distinction in Chapter 18.

Read the signs:

  • bathrooms (positive, around $60): the headline. After controlling for bedrooms and borough, each additional bathroom is associated with about $60 more per night on a typical listing. That premium would recover a $50,000 renovation in roughly two to three years of typical occupancy – a meaningful effect, large enough to act on if it is real.
  • bedrooms (positive, around $34): smaller than bathrooms but in the same ballpark. As the chapter opener cautioned, this is an across-listings association: listings with more bedrooms cost more, on average, controlling for bathrooms and borough. It is NOT a guarantee that adding a bedroom to your listing would lift the price by $34, because adding a bedroom usually means a bigger apartment – many things change at once.
  • C(borough)[T.<X>] rows: each is the price gap for that borough relative to the dropped reference (the Bronx). Manhattan should be the largest gap; Brooklyn close behind; Queens and Staten Island lower. The intercept gives the absolute baseline (Bronx, zero bathrooms, zero bedrooms), and each borough indicator tells you how to shift from there.
TipThink About It

The coefficient on bedrooms is about $34 per night. Does that mean adding a bedroom to your listing would increase your nightly rate by that amount? What other factors might change when you add a bedroom — and how would that affect the interpretation?

Q1: is the bathroom coefficient nonzero?

For each coefficient, the null hypothesis states that predictor \(j\) contributes nothing beyond what the other predictors in this model already contribute:

\[H_0: \beta_j = 0 \quad \text{vs} \quad H_a: \beta_j \neq 0.\]

If \(\beta_j = 0\), then \(x_j\) is dead weight relative to the rest of the model – dropping it would not change the fit. The question is whether we can reject this null.

Read the null carefully: it is a conditional statement, not an unconditional one. It does not claim \(x_j\) is unrelated to \(y\). It claims \(x_j\) is unrelated to \(y\) once we have already accounted for the other predictors. The same variable can fail this test in one model and pass it in another. We saw exactly this in Chapter 5 with bathrooms and bedrooms: the bathroom coefficient shrank once bedrooms entered, because some of the apparent “bathroom” signal was actually apartment size leaking through. The hypothesis test only asks the question this particular model was built to answer – given the other variables in the regression, does this one add anything?

Bootstrap approach: computing a p-value by resampling

One way to assess whether the bathrooms coefficient is distinguishable from zero is to bootstrap: refit the model on resampled datasets, watch how the coefficient varies, and see how often the resampled estimate crosses zero.

Code
# Bootstrap the bathrooms coefficient
np.random.seed(42)
n_boot = 1000
boot_coefs = np.zeros(n_boot)

for i in range(n_boot):
    boot_idx = np.random.choice(len(airbnb_clean), size=len(airbnb_clean), replace=True)
    boot_data = airbnb_clean.iloc[boot_idx]
    boot_model = smf.ols(
        'price_clean ~ bathrooms + bedrooms + C(borough)',
        data=boot_data
    ).fit()
    boot_coefs[i] = boot_model.params['bathrooms']

boot_se_bath = boot_coefs.std()
boot_ci_bath = np.percentile(boot_coefs, [2.5, 97.5])
# Two-sided p-value: fraction of bootstrap samples on the opposite side of zero
if np.mean(boot_coefs) >= 0:
    boot_p_bath = 2 * np.mean(boot_coefs <= 0)
else:
    boot_p_bath = 2 * np.mean(boot_coefs >= 0)

print("Bootstrap inference for bathrooms coefficient:")
print(f"  Original estimate: ${airbnb_model.params['bathrooms']:.4f}")
print(f"  Bootstrap SE:      ${boot_se_bath:.4f}")
print(f"  Bootstrap 95% CI:  [${boot_ci_bath[0]:.4f}, ${boot_ci_bath[1]:.4f}]")
print(f"  Bootstrap p-value: {format_pvalue(boot_p_bath)}")
Bootstrap inference for bathrooms coefficient:
  Original estimate: $62.4363
  Bootstrap SE:      $2.8427
  Bootstrap 95% CI:  [$56.8335, $68.2448]
  Bootstrap p-value: 0.00e+00

The bootstrap gives us a distribution of the coefficient across resampled datasets. Now we derive the same result using a formula.

The t-statistic: a formula shortcut

The bootstrap standard error and the formula-based standard error measure the same thing: how much the coefficient would vary across repeated samples. The t-statistic divides the coefficient by its standard error.

Code
# The bathrooms coefficient and its SE
beta_bath = airbnb_model.params['bathrooms']
se_bath = airbnb_model.bse['bathrooms']
df_resid_air = airbnb_model.df_resid  # residual degrees of freedom

print(f"bathrooms coefficient: ${beta_bath:.4f}")
print(f"Formula SE:            ${se_bath:.4f}")
print(f"Bootstrap SE:          ${boot_se_bath:.4f}  (close match)")
print(f"Ratio (coef / SE):     {beta_bath / se_bath:.4f}")
bathrooms coefficient: $62.4363
Formula SE:            $1.8606
Bootstrap SE:          $2.8427  (close match)
Ratio (coef / SE):     33.5566
ImportantDefinition: Coefficient t-test

For each coefficient, we test

\[H_0: \beta_j = 0 \quad \text{vs} \quad H_a: \beta_j \neq 0\]

using the t-statistic

\[t = \frac{\hat{\beta}_j}{\widehat{\text{SE}}(\hat{\beta}_j)}.\]

This is exactly Gosset’s situation from Chapter 10: an estimate divided by an estimated standard error. When the LINE conditions hold, the ratio under \(H_0\) is exactly Student’s \(t\) – heavier tails than a standard normal because the SE is estimated from the residuals rather than known in advance. Without normal errors, the CLT makes the ratio asymptotically normal anyway; either way, with tens of thousands of observations here, the \(t\) critical values agree with the normal \(\pm 1.96\) to four decimal places, and we can read p-values off a normal in practice.

A regression with \(p\) predictors runs \(p\) such tests at once, so the multiple-testing discipline of Chapter 11 applies: the more coefficients you scan for “significance,” the more false positives you should expect. With the p-values seen here (\(<0.001\) throughout), Bonferroni or BH leaves the same coefficients flagged; with marginal p-values (\(\sim 0.01\)\(0.05\)), corrections matter.

Under the LINE conditions (linearity, independence, normality of errors, equal variance), the t-statistic above follows a \(t\)-distribution with \(n - p - 1\) degrees of freedom exactly, where \(n\) is the number of observations and \(p\) is the number of predictors. The “\(-p - 1\)” charges one degree of freedom per estimated parameter – \(p\) slopes plus the intercept – because each one constrains the residuals. For large \(n\), the \(t_{n-p-1}\) distribution is indistinguishable from a standard normal, which is why most software returns essentially the same p-value whether you use \(t\) or \(z\) once \(n\) is in the thousands.

Code
# T-test for bathrooms coefficient — verify by hand
t_stat_bath = beta_bath / se_bath
p_value_bath = 2 * stats.t.sf(abs(t_stat_bath), df_resid_air)

print("T-test for bathrooms coefficient (by hand):")
print(f"  t = {beta_bath:.4f} / {se_bath:.4f} = {t_stat_bath:.4f}")
print(f"  p-value = {format_pvalue(p_value_bath)}")
print()
print("From statsmodels:")
print(f"  t = {airbnb_model.tvalues['bathrooms']:.4f}")
print(f"  p = {format_pvalue(airbnb_model.pvalues['bathrooms'])}")
print()
print("They match. The formula gives the same answer as the bootstrap, much faster.")
T-test for bathrooms coefficient (by hand):
  t = 62.4363 / 1.8606 = 33.5566
  p-value = 6.28e-238

From statsmodels:
  t = 33.5566
  p = 6.28e-238

They match. The formula gives the same answer as the bootstrap, much faster.

Confidence interval for a coefficient

A 95% confidence interval for \(\beta_j\) has the familiar shape

\[\hat{\beta}_j \pm t^* \times \widehat{\text{SE}}(\hat{\beta}_j),\]

where \(t^*\) is the critical value at the desired confidence level. For a 95% CI with our sample size, \(t^* \approx 1.96\) – the familiar normal cutoff. (For small samples, \(t^*\) is slightly larger; the Going deeper note above gives the exact distribution.)

Code
# 95% CI for bathrooms coefficient
t_star = stats.t.ppf(0.975, df_resid_air)
ci_lower_bath = beta_bath - t_star * se_bath
ci_upper_bath = beta_bath + t_star * se_bath
ci_bath = airbnb_model.conf_int().loc['bathrooms']
p_bath = airbnb_model.pvalues['bathrooms']

print(f"95% CI for bathrooms coefficient:")
print(f"  ${beta_bath:.4f} +/- {t_star:.3f} x ${se_bath:.4f}")
print(f"  [${ci_lower_bath:.2f}, ${ci_upper_bath:.2f}]")
print()
print(f"From statsmodels: [${ci_bath[0]:.2f}, ${ci_bath[1]:.2f}]")
print(f"From bootstrap:   [${boot_ci_bath[0]:.2f}, ${boot_ci_bath[1]:.2f}]")
print()
print(f"Interpretation: controlling for bedrooms and borough, each additional bathroom is")
print(f"associated with between ${ci_lower_bath:.0f} and ${ci_upper_bath:.0f} more per night (95% CI).")
print(f"That range comfortably excludes zero AND is large enough to drive a renovation decision.")
95% CI for bathrooms coefficient:
  $62.4363 +/- 1.960 x $1.8606
  [$58.79, $66.08]

From statsmodels: [$58.79, $66.08]
From bootstrap:   [$56.83, $68.24]

Interpretation: controlling for bedrooms and borough, each additional bathroom is
associated with between $59 and $66 more per night (95% CI).
That range comfortably excludes zero AND is large enough to drive a renovation decision.

Prediction intervals vs. confidence intervals

We have built confidence intervals for coefficients – but what about predictions? When we use a regression model to predict at a particular value of \(x\), there are two different questions, and they give different intervals.

  • Confidence interval for the mean response: How uncertain are we about the average \(Y\) at this \(x\)? This interval reflects estimation uncertainty in \(\hat{\beta}\).
  • Prediction interval for a new observation: Where might a single new \(Y\) fall? This interval adds individual variability (\(\varepsilon\)) on top of estimation uncertainty.
ImportantPrediction intervals are always wider

A prediction interval accounts for two sources of uncertainty: (1) estimation uncertainty in the regression line (\(\hat{\beta}\) varies across hypothetical samples), and (2) individual variability around the line (\(\varepsilon\) varies across listings). A confidence interval for the mean includes only source (1). The prediction interval is therefore always wider, and the gap grows with the residual variance: noisy responses produce much wider PIs than tight ones.

With the linear-algebra notation from Chapter 4, the prediction-interval half-width at a new point \(x_0\) is \(t^* \hat{\sigma} \sqrt{1 + x_0^\top (X^\top X)^{-1} x_0}\), where \(\hat{\sigma}\) is the residual standard deviation. The CI half-width for the mean response drops the leading \(1\) inside the square root. The leading \(1\) is the contribution of individual variability (\(\sigma^2\)); the \(x_0^\top (X^\top X)^{-1} x_0\) term is the estimation uncertainty in \(\hat{\beta}\) at \(x_0\).

Code
# Prediction interval vs confidence interval — Airbnb model
bath_vals = np.arange(1, airbnb_clean['bathrooms'].max() + 0.5, 0.5)
grid = pd.DataFrame({
    'bathrooms': bath_vals,
    'bedrooms': [airbnb_clean['bedrooms'].median()] * len(bath_vals),
    'borough': ['Manhattan'] * len(bath_vals),
})
grid_pred = airbnb_model.get_prediction(grid).summary_frame(alpha=0.05)

fig, ax = plt.subplots(figsize=(9, 5.5))

# Underlying scatter: actual Manhattan listings at the median bedroom count.
median_beds = airbnb_clean['bedrooms'].median()
manhattan_data = airbnb_clean[
    (airbnb_clean['borough'] == 'Manhattan') &
    (airbnb_clean['bedrooms'] == median_beds)
]
ax.scatter(manhattan_data['bathrooms'], manhattan_data['price_clean'],
           alpha=0.10, s=14, color='gray', label=f'Manhattan listings ({int(median_beds)} bed)')

# Mark the extrapolation zone first so it sits behind the bands
data_max_bath = manhattan_data['bathrooms'].quantile(0.99)
ax.axvspan(data_max_bath, bath_vals.max() + 0.25, alpha=0.10, color='red',
           label='extrapolation zone (sparse data)')

ax.fill_between(bath_vals, grid_pred['obs_ci_lower'], grid_pred['obs_ci_upper'],
                alpha=0.22, color='orange', label='95% prediction interval')
ax.fill_between(bath_vals, grid_pred['mean_ci_lower'], grid_pred['mean_ci_upper'],
                alpha=0.55, color='steelblue', label='95% CI for mean response')
ax.plot(bath_vals, grid_pred['mean'], 'o-', color='steelblue',
        markersize=6, linewidth=2, label='predicted mean')

ax.set_xlabel('Number of Bathrooms', fontsize=12)
ax.set_ylabel('Price ($/night)', fontsize=12)
ax.set_title('CI for the mean vs. prediction interval (Manhattan, median bedrooms)',
             fontsize=12)
ax.tick_params(labelsize=11)

# Move legend below the plot so the bands have room
ax.legend(loc='upper center', bbox_to_anchor=(0.5, -0.16),
          ncol=3, fontsize=10, frameon=False)
plt.tight_layout()
plt.show()

print("The blue band (CI for the mean) is narrow — we are fairly sure about the average price.")
print("The orange band (prediction interval) is wide. Where the gray scatter is dense")
print("(near 1 bathroom), the band brackets most of it — exactly the job of a 95% PI.")
print("At higher bathroom counts, the band is extrapolated: few Manhattan-1-bedroom")
print("listings have 4-5 bathrooms, so we cannot visually verify coverage there.")

The blue band (CI for the mean) is narrow — we are fairly sure about the average price.
The orange band (prediction interval) is wide. Where the gray scatter is dense
(near 1 bathroom), the band brackets most of it — exactly the job of a 95% PI.
At higher bathroom counts, the band is extrapolated: few Manhattan-1-bedroom
listings have 4-5 bathrooms, so we cannot visually verify coverage there.

A specific prediction makes the difference concrete.

Code
# Numeric example: predicted price for a 2-bathroom, 2-bedroom Manhattan listing
example = pd.DataFrame({
    'bathrooms': [2],
    'bedrooms': [2],
    'borough': ['Manhattan'],
})
example_pred = airbnb_model.get_prediction(example).summary_frame(alpha=0.05)

print("Prediction for a 2-bath, 2-bed Manhattan listing:")
print(f"  Predicted price:        ${example_pred['mean'].values[0]:.2f}/night")
print(f"  95% CI for mean price:  [${example_pred['mean_ci_lower'].values[0]:.2f}, ${example_pred['mean_ci_upper'].values[0]:.2f}]")
print(f"  95% prediction interval:[${example_pred['obs_ci_lower'].values[0]:.2f}, ${example_pred['obs_ci_upper'].values[0]:.2f}]")
print()
print("The CI says the *average* listing like this rents for roughly")
print(f"${example_pred['mean_ci_lower'].values[0]:.0f}-${example_pred['mean_ci_upper'].values[0]:.0f}/night.")
print("The PI says a *single new* listing could fall anywhere in a much wider range,")
print("reflecting the large variation among individual Airbnb listings.")
Prediction for a 2-bath, 2-bed Manhattan listing:
  Predicted price:        $286.13/night
  95% CI for mean price:  [$282.79, $289.46]
  95% prediction interval:[$151.65, $420.60]

The CI says the *average* listing like this rents for roughly
$283-$289/night.
The PI says a *single new* listing could fall anywhere in a much wider range,
reflecting the large variation among individual Airbnb listings.

Q1 says yes — but is the effect big enough? (NBA cautionary tale)

The Airbnb story was tidy: the bathrooms coefficient is large, statistically distinguishable from zero, and stable enough to drive a renovation decision. Regression inference is not always so encouraging. We now turn the same machinery on a different question – and watch the same machinery flag trouble.

An NBA team’s analytics department says rest boosts performance by about 0.3 game-score points per game – enough to think about restructuring the schedule around it. Should the front office invest in roster flexibility based on that finding? Players who get more rest aren’t a random subset of the league: coaches give bench players DNPs (extra rest by another name), they rest stars before tough matchups, and injured players return from long absences with high rest values. So a raw association between rest days and game score is tangled up with who is resting, on top of whatever rest itself does.

Code
# Load NBA data
nba = pd.read_csv(f'{DATA_DIR}/nba/nba_load_management.csv')
nba['GAME_DATE'] = pd.to_datetime(nba['GAME_DATE'])

# Drop rows missing REST_DAYS (a player's first game of the season has no prior rest);
# cap rest days at 7 to avoid treating long injury absences as "rest."
n_raw = len(nba)
nba_games = nba.dropna(subset=['REST_DAYS']).copy()
nba_games = nba_games[nba_games['REST_DAYS'] <= 7].copy()
print(f"NBA rows: {n_raw:,} raw, {len(nba_games):,} after dropping missing REST_DAYS and capping at 7 days")

# Compute player-season averages as a measure of player quality
nba_games['PLAYER_SEASON_AVG'] = nba_games.groupby(
    ['PLAYER_ID', 'SEASON']
)['GAME_SCORE'].transform('mean')

# Compute opponent game-score allowed (mean GAME_SCORE players post against this opponent)
# Note: HIGH value = opponent has a porous defense; LOW value = stingy defense.
opp_gs_allowed = nba_games.groupby('OPPONENT')['GAME_SCORE'].mean()
nba_games['OPP_GS_ALLOWED'] = nba_games['OPPONENT'].map(opp_gs_allowed)

# Derive additional covariates from existing columns
# Back-to-back indicator: did the player play yesterday?
nba_games['BACK_TO_BACK'] = (nba_games['REST_DAYS'] == 1).astype(int)

# Minutes in previous game (proxy for fatigue/usage)
nba_games = nba_games.sort_values(['PLAYER_ID', 'GAME_DATE'])
nba_games['PREV_MIN'] = nba_games.groupby('PLAYER_ID')['MIN'].shift(1)

print(f"Observations: {len(nba_games):,}")
print(f"Players: {nba_games['PLAYER_NAME'].nunique()}")
print()
print("Variables for regression:")
print(f"  GAME_SCORE (response): mean={nba_games['GAME_SCORE'].mean():.2f}, std={nba_games['GAME_SCORE'].std():.2f}")
print(f"  REST_DAYS: mean={nba_games['REST_DAYS'].mean():.2f}")
print(f"  PLAYER_SEASON_AVG: mean={nba_games['PLAYER_SEASON_AVG'].mean():.2f}")
print(f"  HOME: {nba_games['HOME'].mean():.2%} home games")
print(f"  OPP_GS_ALLOWED: mean={nba_games['OPP_GS_ALLOWED'].mean():.2f} (opponent's avg GS allowed; HIGH = porous defense)")
print(f"  BACK_TO_BACK: {nba_games['BACK_TO_BACK'].mean():.2%} of games")
print(f"  PREV_MIN: mean={nba_games['PREV_MIN'].mean():.1f} (previous game minutes)")
NBA rows: 78,335 raw, 72,156 after dropping missing REST_DAYS and capping at 7 days
Observations: 72,156
Players: 787

Variables for regression:
  GAME_SCORE (response): mean=8.85, std=7.85
  REST_DAYS: mean=2.27
  PLAYER_SEASON_AVG: mean=8.85
  HOME: 49.92% home games
  OPP_GS_ALLOWED: mean=8.85 (opponent's avg GS allowed; HIGH = porous defense)
  BACK_TO_BACK: 15.64% of games
  PREV_MIN: mean=23.5 (previous game minutes)

Fit, then read

We predict GAME_SCORE from REST_DAYS plus three controls – player season average, home/away, and the porousness of the opposing defense (OPP_GS_ALLOWED, the mean game score players post against that opponent; high = porous defense).

Code
model_full = smf.ols(
    'GAME_SCORE ~ REST_DAYS + PLAYER_SEASON_AVG + HOME + OPP_GS_ALLOWED',
    data=nba_games
).fit()

print(model_full.summary())
                            OLS Regression Results                            
==============================================================================
Dep. Variable:             GAME_SCORE   R-squared:                       0.436
Model:                            OLS   Adj. R-squared:                  0.436
Method:                 Least Squares   F-statistic:                 1.392e+04
Date:                Mon, 18 May 2026   Prob (F-statistic):               0.00
Time:                        00:06:17   Log-Likelihood:            -2.3041e+05
No. Observations:               72156   AIC:                         4.608e+05
Df Residuals:                   72151   BIC:                         4.609e+05
Df Model:                           4                                         
Covariance Type:            nonrobust                                         
=====================================================================================
                        coef    std err          t      P>|t|      [0.025      0.975]
-------------------------------------------------------------------------------------
Intercept            -8.6638      0.493    -17.565      0.000      -9.631      -7.697
REST_DAYS            -0.1531      0.021     -7.248      0.000      -0.195      -0.112
PLAYER_SEASON_AVG     0.9965      0.004    232.879      0.000       0.988       1.005
HOME                  0.2913      0.044      6.627      0.000       0.205       0.377
OPP_GS_ALLOWED        1.0050      0.055     18.224      0.000       0.897       1.113
==============================================================================
Omnibus:                     3741.503   Durbin-Watson:                   1.890
Prob(Omnibus):                  0.000   Jarque-Bera (JB):             5378.074
Skew:                           0.476   Prob(JB):                         0.00
Kurtosis:                       3.939   Cond. No.                         301.
==============================================================================

Notes:
[1] Standard Errors assume that the covariance matrix of the errors is correctly specified.

Read this table off the same template as Airbnb. The REST_DAYS row jumps out: coefficient \(-0.15\), \(p<0.001\), CI \([-0.20, -0.11]\) excludes zero comfortably. By the Q1 criterion of block 1 – “is the coefficient distinguishable from zero?” – we have a winner.

That is the surprise of the chapter. Block 1 said a tight CI excluding zero meant decision-grade. Here, taking that seriously would say “rest hurts performance, \(p<0.001\) – cut rest days.” That conclusion is wrong, and the next two questions tell us why.

WarningVariable names can deceive

The OPP_GS_ALLOWED coefficient sits near \(+1\), which looks paradoxical – shouldn’t a “stronger opponent” lower a player’s score? Read the variable definition carefully: OPP_GS_ALLOWED is the average game score allowed by that opponent. High = porous defense. So a positive coefficient is mechanical: facing a porous defense → higher game score. The variable’s name (had we called it OPP_STRENGTH) would have lied about the direction.

When a coefficient sign surprises you, before you write up “regression confirms X,” look at how the variable was constructed. The most common source of a “surprising” sign is not a deep finding – it is a sign convention you missed. The same lens applies to a coefficient that surprises in the opposite direction: a binary indicator coded 1 = no rather than 1 = yes flips the sign with no change in the underlying relationship.

Q2: is the effect large enough to matter?

Raw coefficients are hard to compare across predictors with different units. Standardized coefficients multiply each coefficient by its predictor’s standard deviation, putting all effects on a common scale: “the effect of a one-SD change.”

Code
# Two-panel: full scale (left) reveals player-quality dominance;
# zoomed (right) makes the small bars and their CIs readable.
ci = model_full.conf_int().drop('Intercept')
coef_vals = model_full.params.drop('Intercept')

predictor_sds = nba_games[['REST_DAYS', 'PLAYER_SEASON_AVG', 'HOME', 'OPP_GS_ALLOWED']].std()
std_coefs = coef_vals * predictor_sds
std_ci_lower = ci[0] * predictor_sds
std_ci_upper = ci[1] * predictor_sds

labels = ['Rest Days', 'Player Quality\n(Season Avg)', 'Home Court', 'Opponent\nGS Allowed']
y_pos = list(range(len(labels)))

# Color the bar that drives the decision differently so it pops in both panels.
colors = ['#e74c3c' if l == 'Rest Days' else 'steelblue' for l in labels]

fig, axes = plt.subplots(1, 2, figsize=(10, 4.5),
                          gridspec_kw={'width_ratios': [1.4, 1]})

for ax, title, xlim in zip(
    axes,
    ['Full scale: player quality dominates',
     'Zoomed in: rest is essentially zero'],
    [None, (-0.5, 0.6)],
):
    ax.barh(y_pos, std_coefs.values, xerr=[
        std_coefs.values - std_ci_lower.values,
        std_ci_upper.values - std_coefs.values
    ], color=colors, edgecolor='black', capsize=5, alpha=0.75)
    ax.axvline(x=0, color='red', linestyle='--', linewidth=1)
    ax.set_yticks(y_pos)
    ax.set_yticklabels(labels)
    ax.set_xlabel('Effect of 1 SD change (game-score points)')
    ax.set_title(title, fontsize=11)
    if xlim is not None:
        ax.set_xlim(*xlim)

fig.suptitle('Standardized Regression Coefficients with 95% CIs', fontsize=12, y=1.02)
plt.tight_layout()
plt.show()

print("Left: player quality dwarfs everything else.")
print("Right: rest_days CI is fully visible — and it barely clears zero.")

Left: player quality dwarfs everything else.
Right: rest_days CI is fully visible — and it barely clears zero.

The bar that should drive a strategic decision is a sliver next to the bars for the variables we already understood. With \(n = 70{,}000\), the coefficient t-test is sensitive enough to flag effects too small to act on. The distinction has two formal names worth introducing:

  • Statistical significance: the coefficient is distinguishable from zero given the sample (a property of the t-test, not the world).
  • Practical significance (or practical importance): the coefficient is large enough to matter for a decision in the relevant domain (a property of the world, not the test).

To put effect sizes on a unitless scale comparable across problems, we use Cohen’s d – the coefficient divided by the response variable’s standard deviation. The number you get is “how many SDs of the outcome does a one-unit change in the predictor move the prediction.” Whether a given \(d\) is “important” depends entirely on context: a tiny \(d\) on something high-stakes (mortality, election margins) can matter; a “large” \(d\) on something low-stakes can fail to. The benchmarks below are a backstop, not a substitute for asking “does this number change a decision?”

Code
# Effect size for REST_DAYS in NBA model
rest_coef = model_full.params['REST_DAYS']
rest_se = model_full.bse['REST_DAYS']
game_score_std = nba_games['GAME_SCORE'].std()

# Cohen's d: coefficient divided by outcome SD
std_effect = rest_coef / game_score_std

print("=== NBA Rest Effect: Significance vs Importance ===")
print()
print(f"Coefficient: {rest_coef:.3f} game score points per rest day")
print(f"Standard deviation of game score: {game_score_std:.2f}")
print(f"Cohen's d (standardized effect): {std_effect:+.4f} SD")
print(f"p-value: {format_pvalue(model_full.pvalues['REST_DAYS'])}")
print()
print("Cohen's (1988) rough behavioral-science benchmarks (use cautiously, see prose):")
print("  Small effect:  d ~ 0.2")
print("  Medium effect: d ~ 0.5")
print("  Large effect:  d ~ 0.8")
print(f"  Our effect:    d = {std_effect:+.4f}  <-- essentially zero on any benchmark")
print()
print(f"With n = {len(nba_games):,} observations, we can detect effects that are")
print(f"completely negligible in practice.")
=== NBA Rest Effect: Significance vs Importance ===

Coefficient: -0.153 game score points per rest day
Standard deviation of game score: 7.85
Cohen's d (standardized effect): -0.0195 SD
p-value: 4.28e-13

Cohen's (1988) rough behavioral-science benchmarks (use cautiously, see prose):
  Small effect:  d ~ 0.2
  Medium effect: d ~ 0.5
  Large effect:  d ~ 0.8
  Our effect:    d = -0.0195  <-- essentially zero on any benchmark

With n = 72,156 observations, we can detect effects that are
completely negligible in practice.

“Statistical significance is no substitute for practical importance.” – the unwritten lesson behind every \(n\) in the tens of thousands.

TipThink About It

A sports analytics team comes to you and says “we ran a regression and found a negative coefficient for rest days – extra rest actually hurts performance, with \(p < 0.001\)!” Before you act on that, what questions should you ask? Sketch your answers before reading on.

  1. How big is the effect? (Tiny – a fraction of a point, standardized effect near zero.)
  2. Is there confounding? (Yes – coaches strategically rest players before tough opponents.)
  3. Does the model capture all relevant factors? (No – schedule difficulty, travel, fatigue history, etc.)
  4. Would this result hold out of sample? (Uncertain.)

Statistical significance with large samples can detect effects too small to matter.

Confounding made visible: aggregate vs. within-group slopes

The coefficient we just read controls for player quality. But the naive analysis – regressing game score on rest days alone – would have produced a different number entirely, and walking through why is a quick lesson in how confounding shapes what the regression reports.

The dashed line below shows the relationship between rest days and game score aggregated across all players. The colored lines show the same relationship within each player-quality quartile. If the aggregate slope and the within-bucket slopes disagree, the aggregate is a confounded estimate.

Code
# Simpson's paradox visualization: aggregate vs within-quality-bucket trend
nba_q = nba_games.copy()
nba_q['quality_bucket'] = pd.qcut(
    nba_q['PLAYER_SEASON_AVG'], q=4,
    labels=['Bench (Q1)', 'Role (Q2)', 'Starter (Q3)', 'Star (Q4)']
)

agg = nba_q.groupby('REST_DAYS', observed=True)['GAME_SCORE'].mean().reset_index()
buckets = (
    nba_q.groupby(['quality_bucket', 'REST_DAYS'], observed=True)['GAME_SCORE']
    .mean().reset_index()
)

fig, ax = plt.subplots(figsize=(8, 5))
for bucket, color in zip(['Bench (Q1)', 'Role (Q2)', 'Starter (Q3)', 'Star (Q4)'],
                         ['#d4e6f1', '#85c1e9', '#3498db', '#1a5490']):
    sub = buckets[buckets['quality_bucket'] == bucket]
    ax.plot(sub['REST_DAYS'], sub['GAME_SCORE'], 'o-',
            color=color, label=str(bucket), linewidth=1.5, markersize=5)
ax.plot(agg['REST_DAYS'], agg['GAME_SCORE'], 'k--',
        label='Aggregate (all players)', linewidth=2.5)
ax.set_xlabel('Rest Days')
ax.set_ylabel('Mean Game Score')
ax.set_title("Simpson's paradox: rest vs game score, aggregate vs within-quality bucket")
ax.legend(title='Player season-avg quartile', fontsize=9, loc='best')
plt.tight_layout()
plt.show()

The four colored within-bucket lines are nearly flat: once we compare like-to-like, extra rest barely moves game score. The dashed aggregate line moves more, because it picks up the compositional effect of which players are at each rest value. Adding PLAYER_SEASON_AVG to the regression is the algebraic version of switching from the dashed line to the colored ones. This is Simpson’s paradox in regression form: an aggregate association that flips or shrinks once we condition on the right covariate. Here the signs are the same – aggregate and within-bucket slopes both trend slightly down – but the aggregate is much steeper. So this example is the attenuation flavor of Simpson’s, not a sign-flip; the lesson is the same either way: an unadjusted regression of game score on rest days alone would have reported a misleadingly large coefficient.

WarningAssociation, not causation

Our regression controls for measured covariates – player quality, home court, opponent porousness – but it does NOT estimate a causal effect of rest. Coaches choose when to rest players for strategic reasons we cannot observe (a DNP after a soft loss differs from a DNP before a back-to-back). Chapter 18 introduces directed acyclic graphs (DAGs), the framework that lets you draw which paths a regression closes and which it leaves open – and decide whether “controlling for” was enough.

Q3: is the inference trustworthy?

You met residual plots in Chapter 5 as a tool for spotting missing model structure (curves, clusters, fans). Here we use the same plots for a sharper purpose: deciding whether the t-tests and confidence intervals above can be trusted at all. We have run the same machinery on two regressions and gotten very different answers; before we trust either, we have to check that the formula-based inference rests on a sound foundation. The diagnostics below apply to BOTH models in turn.

ImportantDefinition: LINE Conditions

The assumptions for regression inference are remembered by the LINE mnemonic:

  • Linearity: the relationship between predictors and response is linear.
  • Independence: observations are independent of each other.
  • Normality: residuals are approximately normally distributed.
  • Equal variance: the spread of residuals is roughly constant across fitted values (no heteroscedasticity).

Each LINE condition has a characteristic diagnostic signature. The residual plot below addresses L (linearity, via the LOWESS curve) and E (equal variance, via the scale-location panel); the Q-Q plot addresses N (normality). The fourth letter, I (independence), is harder to check from residual plots alone – it requires you to ask whether the rows are clustered. Both datasets here have an independence concern worth flagging: NBA observations are repeated player-game records (the same player appears thousands of times, so games for one player share unmeasured traits), and Airbnb listings cluster by host (one host with many listings shares pricing strategy and amenity quality). The standard fix is clustered standard errors, which inflate the SEs to reflect the within-cluster correlation. With sample sizes in the tens of thousands, clustering would widen the bathroom and rest-day CIs but would not flip a “significant vs not” conclusion or change which coefficients dominate – the qualitative findings stand. We leave the implementation to homework, where you will also generate synthetic data that violates each LINE assumption and create the corresponding diagnostic plots.

Residual plot: do residuals have constant spread?

ImportantDefinition: Residual Plot

A residual plot shows residuals (observed \(-\) predicted) vs. fitted values (the model’s predicted values, \(\hat{y}_i\)). We want to see a random scatter with no pattern. If the spread of residuals changes with the fitted value, that is heteroscedasticity – the model’s uncertainty is not uniform.

The x-axis of the residual plot shows the fitted values – the model’s predicted response for each observation, \(\hat{y}_i\). The orange curve is a LOWESS smooth (locally weighted scatterplot smoothing): a flexible local average that highlights any systematic trend. A flat LOWESS line near zero suggests the assumptions are met; a bend or funnel shape signals a problem.

Code
# Residual plot for the Airbnb model
fitted_air = airbnb_model.fittedvalues
resid_air = airbnb_model.resid

fig, axes = plt.subplots(1, 2, figsize=(8, 3.5))

axes[0].scatter(fitted_air, resid_air, alpha=0.04, s=5, color='steelblue')
axes[0].axhline(y=0, color='red', linestyle='--', linewidth=1)
axes[0].set_xlabel('Fitted Values (ŷ)')
axes[0].set_ylabel('Residuals')
axes[0].set_title('Airbnb: Residuals vs Fitted Values')
smooth_air = lowess(resid_air, fitted_air, frac=0.1)
axes[0].plot(smooth_air[:, 0], smooth_air[:, 1], color='orange', linewidth=2, label='LOWESS smooth')
axes[0].legend()

std_resid_air = airbnb_model.get_influence().resid_studentized_internal
axes[1].scatter(fitted_air, np.sqrt(np.abs(std_resid_air)), alpha=0.04, s=5, color='steelblue')
axes[1].set_xlabel('Fitted Values')
axes[1].set_ylabel(r'$\sqrt{|\mathrm{Standardized\ Residuals}|}$')
axes[1].set_title('Airbnb: Scale-Location Plot')
smooth_air2 = lowess(np.sqrt(np.abs(std_resid_air)), fitted_air, frac=0.1)
axes[1].plot(smooth_air2[:, 0], smooth_air2[:, 1], color='orange', linewidth=2)

plt.tight_layout()
plt.show()

print("Airbnb: spread of residuals fans out as fitted price grows — a textbook funnel.")
print("Expensive listings vary more in absolute dollars than cheap ones do, so the")
print("constant-variance assumption (the 'E' in LINE) is mildly violated. Options below.")

Airbnb: spread of residuals fans out as fitted price grows — a textbook funnel.
Expensive listings vary more in absolute dollars than cheap ones do, so the
constant-variance assumption (the 'E' in LINE) is mildly violated. Options below.

The NBA model has the same E-violation in a different form. The residuals look roughly symmetric around zero, but the scale-location LOWESS rises from ~0.2 at low fitted scores to ~1.0 at high ones — players projected to score low have less room to deviate; high-projection stars have wider game-to-game swings. The plotting code is parallel to the Airbnb diagnostic above; just substitute model_full for airbnb_model.

fitted_nba = model_full.fittedvalues
resid_nba = model_full.resid
fig, axes = plt.subplots(1, 2, figsize=(8, 3.5))
axes[0].scatter(fitted_nba, resid_nba, alpha=0.02, s=5, color='steelblue')
axes[0].axhline(y=0, color='red', linestyle='--', linewidth=1)
# ... (same as Airbnb residual plot)

Q-Q plot: are residuals approximately normal?

A Q-Q plot compares residual quantiles to what we would expect from a normal distribution. Points on the diagonal indicate normality. Deviations in the tails indicate heavy tails or skew.

Code
# Q-Q plot for the Airbnb model
fig, ax = plt.subplots(figsize=(6, 6))
(tq_air, ord_air), (slope_air, intercept_air, _) = stats.probplot(resid_air, dist='norm')
ax.scatter(tq_air, ord_air, alpha=0.04, s=5, color='steelblue')
ref_x = np.array([tq_air.min(), tq_air.max()])
ax.plot(ref_x, intercept_air + slope_air * ref_x, 'r-', linewidth=1.5, label='Normal reference line')
ax.set_xlabel('Theoretical Quantiles (Normal)')
ax.set_ylabel('Sample Quantiles (Residuals)')
ax.set_title('Q-Q Plot of Residuals\n(Airbnb regression model)')
ax.legend()
plt.tight_layout()
plt.show()

print("Airbnb residuals are right-skewed: prices have a hard floor near $0 but a long")
print("right tail (a few listings far above the mean). The right tail of the Q-Q plot bows")
print("up; the left side tracks the line. Combined with the heteroscedasticity above, this")
print("suggests a log-price transformation would clean both problems up.")

Airbnb residuals are right-skewed: prices have a hard floor near $0 but a long
right tail (a few listings far above the mean). The right tail of the Q-Q plot bows
up; the left side tracks the line. Combined with the heteroscedasticity above, this
suggests a log-price transformation would clean both problems up.

The NBA Q-Q tells a milder version of the same right-skew story. Read it one tail at a time: the left tail is closer to the normal line than the right tail is, though not perfectly so (mild deviation in the moderate-negative range). The right tail bows above the line — the biggest games (a star going 12-for-15 from three) happen more often than a normal would allow. With \(n > 70{,}000\) the CLT rescues formula-based inference on the coefficients; a prediction interval for an individual game score would be too narrow on the high end.

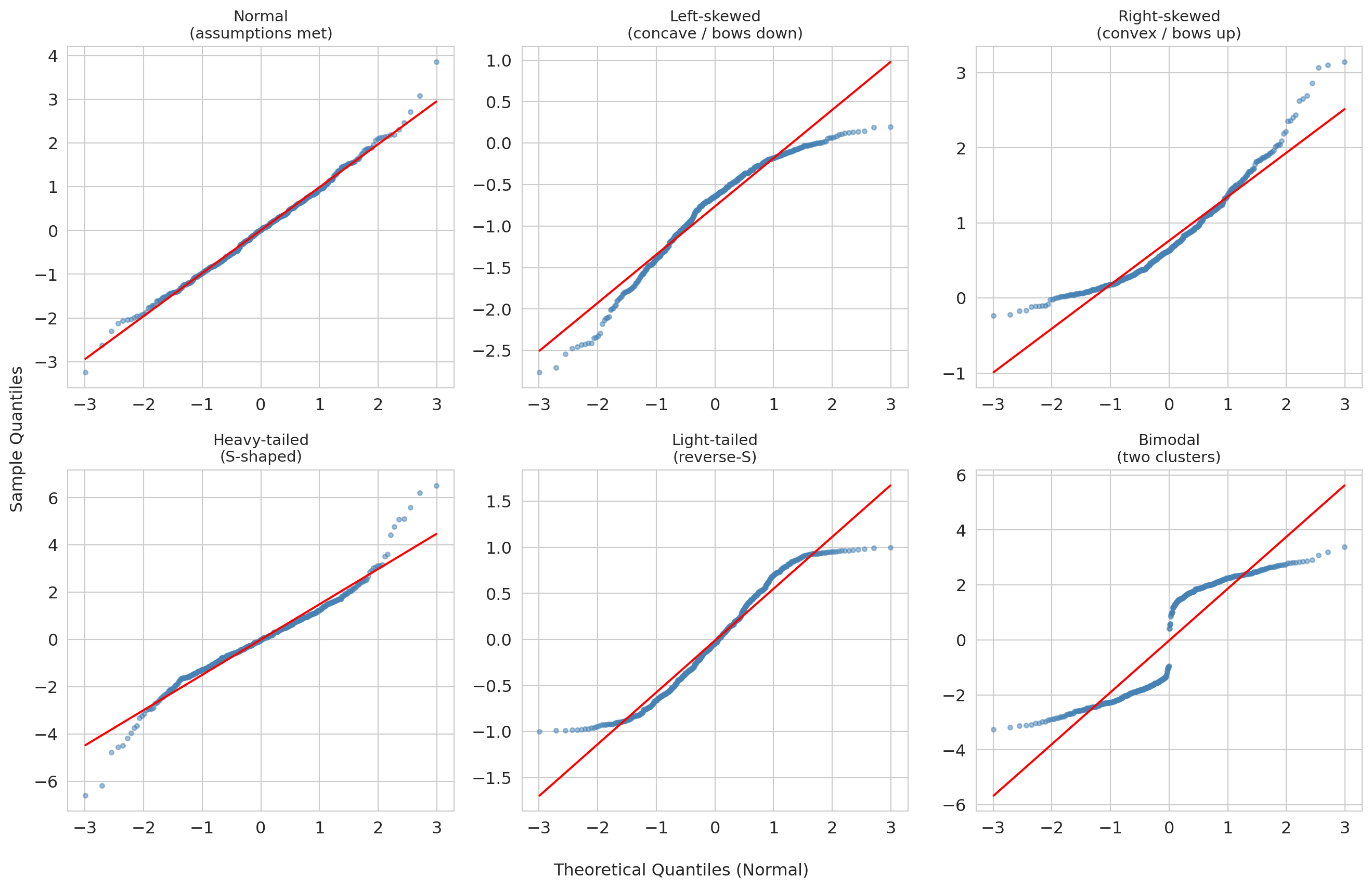
Both Airbnb and NBA residuals showed right-skew (the right tail bows up while the left tail tracks the line). What do other departures from normality look like? The gallery below pairs each residual distribution (top row of each block) with its Q-Q plot (bottom row), so you can read directly from distribution shape to Q-Q shape.

How to read the gallery:

Q-Q shape What it means Example cause
Straight line Normal residuals — assumptions satisfied Well-specified model
Concave (bows down) Left-skewed residuals Floor effect or bounded response
Convex (bows up) Right-skewed residuals Untransformed prices or counts
S-shaped Heavy tails — more extreme values than normal Outlier-prone measurements
Reverse-S Light tails — fewer extreme values than normal Bounded or truncated data
Staircase or gap Multimodal residuals — distinct subgroups Missing categorical predictor

The key diagnostic reflex: when the Q-Q plot bows or bends, ask why the residuals deviate from normality. The shape often points directly to a modeling fix (a log transform, a missing predictor, or an outlier filter).

A note on why we look at residuals rather than the raw response: residuals remove the variation explained by the other predictors, so a pattern (curvature, fan, cluster) that was invisible in the raw \(y\)-vs-\(x\) scatter often jumps out in the residual plot.

WarningWhen diagnostics reveal problems

If residuals show strong non-normality or heteroscedasticity, the formula-based standard errors and p-values may be unreliable. Options include:

  • Bootstrap confidence intervals (Chapter 8) do not assume normality – they let the data speak for itself.
  • Robust standard errors (standard errors adjusted to remain valid even when the residual variance is not constant across observations) protect your inference against heteroscedasticity without changing the coefficient estimates.
  • Transform the response (e.g., log price) to stabilize variance.

For both models in this chapter, the sample sizes are large (\(n \approx 15{,}000\) for Airbnb, \(n \approx 72{,}000\) for NBA), so the CLT still buys us approximately correct formula-based inference on the coefficients despite the right-skewed residuals. With smaller samples or heavier tails, bootstrap CIs would be the safer choice – and our bootstrap on the bathrooms coefficient already agreed with the formula, which is itself a useful sanity check.

WarningDiagnostics catch statistical problems, not systematic ones

Residual plots, Q-Q plots, and the LINE conditions catch statistical problems: non-normality, heteroscedasticity, the wrong functional form. They do not catch the systematic problems that make a regression coefficient a biased answer to a causal question – selective treatment assignment, omitted variables, model misspecification you have not thought to check. The NBA REST_DAYS coefficient is the canonical case in point: with \(n > 70{,}000\) its CI is statistically tight, and the diagnostic plots above are mostly clean. Yet the coefficient would still be the wrong answer to “should we rest players more?” if rested players were also strategically scheduled against weaker opponents – a confounder regression cannot adjust for unless we measure it. Confidence intervals widen with sample noise; they do not widen with confounding.

Putting it together: Airbnb vs NBA

Both analyses used the same tools – t-tests and confidence intervals on regression coefficients. The conclusions differ dramatically.

Code
# Side-by-side comparison
print("=" * 60)
print(f"{'':30s} {'Airbnb Bath':>12s}  {'NBA Rest':>12s}")
print("=" * 60)
print(f"{'Coefficient':30s} {beta_bath:12.2f}  {rest_coef:12.3f}")
print(f"{'SE':30s} {se_bath:12.4f}  {rest_se:12.4f}")
print(f"{'p-value':30s} {format_pvalue(p_bath):>12s}  {format_pvalue(model_full.pvalues['REST_DAYS']):>12s}")
ci_rest = model_full.conf_int().loc['REST_DAYS']
print(f"{'95% CI lower':30s} {ci_bath[0]:12.2f}  {ci_rest[0]:12.3f}")
print(f"{'95% CI upper':30s} {ci_bath[1]:12.2f}  {ci_rest[1]:12.3f}")
std_effect_label = "Standardized effect (coef/SD)"
print(f"{std_effect_label:30s} {beta_bath/airbnb_clean['price_clean'].std():12.4f}  {std_effect:12.4f}")
print(f"{'n':30s} {int(airbnb_model.nobs):12,d}  {len(nba_games):12,d}")
print(f"{'Practically meaningful?':30s} {'Yes':>12s}  {'No':>12s}")
print("=" * 60)
print()
print("Both are 'statistically significant.' Only one is large enough to act on.")
============================================================
                                Airbnb Bath      NBA Rest
============================================================
Coefficient                           62.44        -0.153
SE                                   1.8606        0.0211
p-value                           6.28e-238      4.28e-13
95% CI lower                          58.79        -0.195
95% CI upper                          66.08        -0.112
Standardized effect (coef/SD)        0.7299       -0.0195
n                                    14,689        72,156
Practically meaningful?                 Yes            No
============================================================

Both are 'statistically significant.' Only one is large enough to act on.

Inference for logistic regression

Chapter 7 introduced logistic regression: coefficients live on the log-odds scale, and \(e^{\hat{\beta}_j}\) is the odds ratio — the multiplicative change in odds per unit increase in \(x_j\).

If you have ever looked at sports betting lines, you already have intuition for odds ratios. A betting line of “+200” on Stanford football means a winning $1 bet pays $2, implying the bookmaker’s odds against Stanford are 2-to-1, or odds of 1/3 on Stanford winning. If a coaching change moves the line from +200 to +100 (1-to-1), the odds against Stanford have halved — an odds ratio of \(1/2\). The OR is the multiplicative shift in betting odds you would see on the board. Logistic regression is the same accounting, computed from data: each \(e^{\hat\beta_j}\) tells you how much the odds of the outcome change when \(x_j\) moves by one unit, holding everything else fixed.

The same inference machinery from linear regression applies to the \(\hat{\beta}_j\): standard errors, test statistics, p-values, and confidence intervals. Only two things change:

  • The test statistic is labeled z instead of t, because logistic regression uses the Wald test: a maximum-likelihood-based statistic that is asymptotically normal by general MLE theory. There is no exact small-sample distribution analogous to the OLS \(t_{n-p-1}\), so software always returns a \(z\) and a normal-based p-value – accurate at the sample sizes you will encounter in this course, less reliable for rare-event outcomes or near-perfect separation.
  • A 95% CI \([a, b]\) on \(\hat{\beta}_j\) exponentiates directly to a 95% CI \([e^a, e^b]\) on the odds ratio (the exponential function is monotone).

We return to the Framingham Heart Study from Chapter 7, this time with a smaller model of six clinically meaningful predictors. To match Chapter 7’s setup, we standardize the features — so coefficients and odds ratios are interpreted per one-SD change in each predictor.

Code
# Load Framingham data and drop rows with missing values
framingham = pd.read_csv(f'{DATA_DIR}/framingham/framingham.csv')
fram = framingham.dropna().copy()
print(f"Complete cases: {len(fram):,} of {len(framingham):,}")
Complete cases: 3,658 of 4,240

We fit on standardized features so each coefficient – and each odds ratio – has the same “per one-SD change in this predictor” interpretation.

Code
# Fit logistic regression with statsmodels on standardized features
y = fram['TenYearCHD']
feature_cols = ['age', 'male', 'BMI', 'sysBP', 'cigsPerDay', 'glucose']
X_raw = fram[feature_cols]
X = (X_raw - X_raw.mean()) / X_raw.std()  # standardize
X = sm.add_constant(X)

logit_model = sm.Logit(y, X).fit(disp=0)
print(logit_model.summary())
                           Logit Regression Results                           
==============================================================================
Dep. Variable:             TenYearCHD   No. Observations:                 3658
Model:                          Logit   Df Residuals:                     3651
Method:                           MLE   Df Model:                            6
Date:                Mon, 18 May 2026   Pseudo R-squ.:                  0.1137
Time:                        00:06:19   Log-Likelihood:                -1383.2
converged:                       True   LL-Null:                       -1560.6
Covariance Type:            nonrobust   LLR p-value:                 1.404e-73
==============================================================================
                 coef    std err          z      P>|z|      [0.025      0.975]
------------------------------------------------------------------------------
const         -1.9802      0.056    -35.151      0.000      -2.091      -1.870
age            0.5783      0.055     10.591      0.000       0.471       0.685
male           0.2618      0.053      4.982      0.000       0.159       0.365
BMI            0.0357      0.050      0.719      0.472      -0.062       0.133
sysBP          0.3870      0.049      7.841      0.000       0.290       0.484
cigsPerDay     0.2355      0.050      4.728      0.000       0.138       0.333
glucose        0.1731      0.040      4.331      0.000       0.095       0.251
==============================================================================

The table reads off the same template as the OLS outputs above, with z-statistics in place of t-statistics.

Odds ratios and confidence intervals

Exponentiate the fitted coefficients and their CIs to get odds ratios with CIs.

Code
# Compute odds ratios with 95% CIs
ci = logit_model.conf_int()
coef_table = pd.DataFrame({
    'Odds Ratio': np.exp(logit_model.params),
    'OR 95% CI Lower': np.exp(ci[0]),
    'OR 95% CI Upper': np.exp(ci[1]),
    'p-value': logit_model.pvalues,
})

# Display without the intercept (odds ratio for the intercept is not meaningful)
print(coef_table.loc[coef_table.index != 'const'].round(4).to_string())
            Odds Ratio  OR 95% CI Lower  OR 95% CI Upper  p-value
age             1.7830           1.6021           1.9845   0.0000
male            1.2992           1.1721           1.4402   0.0000
BMI             1.0364           0.9402           1.1424   0.4721
sysBP           1.4725           1.3368           1.6221   0.0000
cigsPerDay      1.2655           1.1478           1.3953   0.0000
glucose         1.1890           1.0994           1.2858   0.0000

Because the features are standardized, each odds ratio is the multiplicative change in odds per one-SD increase in that predictor, holding the others constant.

Walk through age concretely. Its standardized OR is roughly 1.7, so each one-SD increase in age (about 9 years in this cohort) multiplies the odds of 10-year CHD by 1.7 – about a 70% increase. Going from age 50 to 60 is a bit more than one SD, so the odds multiply by roughly \(1.7 \times 1.7^{1/9} \approx 1.85\). To get a per-year odds ratio directly, divide the coefficient by the feature’s SD before exponentiating: \(\exp(\hat\beta_{\text{age}} / \mathrm{SD}_{\text{age}})\). The forest plot below shows all six ORs side by side.

Code
# Forest plot of odds ratios
predictors = [p for p in logit_model.params.index if p != 'const']
ors = np.exp(logit_model.params[predictors])
or_ci_lower = np.exp(ci.loc[predictors, 0])
or_ci_upper = np.exp(ci.loc[predictors, 1])

fig, ax = plt.subplots(figsize=(8, 5))
y_pos = range(len(predictors))
ax.errorbar(ors, y_pos, xerr=[ors - or_ci_lower, or_ci_upper - ors],
            fmt='o', color='steelblue', capsize=5, markersize=8)
ax.axvline(x=1, color='red', linestyle='--', linewidth=1, label='OR = 1 (no effect)')
ax.set_yticks(list(y_pos))
ax.set_yticklabels(predictors)
ax.set_xlabel('Odds Ratio per 1 SD (95% CI)')
ax.set_title('Odds Ratios for 10-Year CHD Risk (Framingham)')
ax.legend()
plt.tight_layout()
plt.show()

An odds ratio whose CI excludes 1 is statistically significant; one whose CI includes 1 is not distinguishable from “no effect.”

Next up: Chapter 12.5 takes the same machinery to classification: bootstrap CIs for AUC, permutation tests for whether a classifier beats random guessing, and multiple-testing corrections over many logistic coefficients. Both chapters share the same template – only the test statistic and the response variable change. Then Chapter 13 opens Act 3 with a completely different model family: decision trees and random forests.

Key takeaways

  1. Regression inference asks: is each predictor useful in this model? The coefficient t-test tests \(H_0: \beta_j = 0\) — given the other predictors. The null is conditional, not absolute.

  2. Read every regression table off the same template: coef, SE, t, p, CI, \(R^2\), F, condition number. Variable names can lie about the encoding – always interpret signs in light of how the variable was constructed.

  3. Confidence intervals tell you the range of plausible effect sizes. A wide CI signals imprecision; a CI that barely excludes zero should make you cautious.

  4. Statistical significance \(\neq\) practical importance. With large \(n\), the t-test can flag effects too small to act on. Always report effect sizes alongside p-values.

  5. Context determines whether a result is actionable. The bathroom premium (about $60/night) clears a renovation hurdle. The rest effect (a fraction of a game-score point) does not justify restructuring an NBA schedule.

  6. Diagnostics decide whether the inference is trustworthy. Residual plots flag heteroscedasticity (Airbnb prices fan out at the high end); Q-Q plots flag non-normality (both models showed right-skew). Large \(n\) rescues coefficient inference via the CLT, but prediction intervals still rely on the residual distribution.

  7. Regression estimates associations, not causal effects. Both regressions adjust for measured covariates, but neither establishes causation. We return to this distinction in Chapter 18.

Study guide

Key ideas

  • Coefficient t-test: Tests whether a single regression coefficient is significantly different from zero, conditional on the other predictors. \(t = \hat{\beta}_j / \widehat{\text{SE}}(\hat{\beta}_j)\).
  • Standard error (of a coefficient): The estimated standard deviation of \(\hat{\beta}_j\) across repeated samples. Measures uncertainty in the coefficient estimate.
  • Conditional null hypothesis: \(\beta_j = 0\) given the other predictors in the model. The same predictor can pass in one model and fail in another.
  • Controlling for / holding constant: The regression interpretation – the effect of one predictor after accounting for the others in the model.
  • Practical significance: Whether an effect is large enough to matter in context, regardless of the p-value.
  • Effect size: A standardized measure of how large an effect is (e.g., coefficient divided by the outcome’s SD).
  • Residual plot: Scatter plot of residuals vs. fitted values; used to check for patterns, non-linearity, and heteroscedasticity.
  • Q-Q plot: Quantile-quantile plot comparing residual quantiles to a normal distribution; points on the diagonal indicate normality.
  • Heteroscedasticity: When the variance of residuals changes across fitted values (the spread “fans out”). Violates the constant-variance assumption of OLS inference.
  • LINE conditions: The four assumptions for regression inference – Linearity, Independence, Normality, Equal variance.
  • Prediction interval: An interval for where a single new observation might fall at a given \(x\). Always wider than the confidence interval for the mean – it includes both estimation uncertainty and individual variability.
  • Parsimony / Occam’s razor: The best model is the simplest one that adequately fits the data. Drop predictors that are not useful.
  • Wald test (for logistic regression coefficients): asymptotically-normal analog of the t-test; the z-statistic \(\hat{\beta}_j / \widehat{\text{SE}}(\hat{\beta}_j)\) is compared to a standard normal. CIs on \(\hat{\beta}_j\) map to CIs on the odds ratio \(e^{\hat{\beta}_j}\) by exponentiating.

Computational tools

  • smf.ols('y ~ x1 + x2', data=df).fit() – fit an OLS regression with formula syntax
  • model.summary() – full regression output including coefficients, SEs, t-stats, p-values
  • model.params – dictionary of fitted coefficients
  • model.pvalues – dictionary of p-values for each coefficient’s t-test
  • model.conf_int() – 95% confidence intervals for all coefficients
  • model.bse – standard errors of all coefficients
  • model.fittedvalues, model.resid – fitted values and residuals for diagnostic plots
  • model.get_prediction(new_data).summary_frame() – confidence interval for the mean and prediction interval for a new observation
  • stats.probplot(residuals, dist='norm') – Q-Q plot data with correct scaling
  • format_pvalue(p) – format p-values in scientific notation when below 0.001
  • sm.Logit(y, X).fit().summary() – fit logistic regression with inference (coefficients, SEs, z-statistics, p-values, CIs)

For the quiz

  • Be able to interpret a full regression output table: read off coefficients, standard errors, t-statistics, p-values, R-squared, F-statistic, and condition number.
  • Know what “controlling for” means in a regression context and how the conditional null shapes the t-test.
  • Distinguish statistical significance (small p-value) from practical importance (large effect size).
  • Know the formula \(t = \hat{\beta}_j / \widehat{\text{SE}}(\hat{\beta}_j)\) and what it tests.
  • Be able to interpret a confidence interval for a regression coefficient in context.
  • Know what a residual plot and Q-Q plot show, and what patterns indicate problems (heteroscedasticity, non-normality).
  • Know the LINE conditions (Linearity, Independence, Normality, Equal variance) and which diagnostic plots check which conditions.
  • Know that bootstrap CIs (Chapter 8) are a fallback when normality assumptions fail.
  • Be able to interpret a logistic regression inference table: read off z-statistics, p-values, and CIs, and convert coefficients and CIs to odds ratios.